RESEARCH WORK

 



 

Homepage

My résumé

QSep project

Where to find me?

 

Influence of unequal component efficiencies on trajectories during distillation of a homogeneous azeotropic mixture

 J.A. Ojeda Nava and R. Krishna

The overall objective of this work is to examine the influence of interphase mass transfer on the composition trajectories in homogeneous azeotropic distillation. A total of 38 experiments were carried out in a bubble cap distillation column operated at total reflux with the system: water–ethanol–tert-butanol. The experiments were carried out in the two regions on either side of the distillation boundary connecting the ethanol–water and t-butanol–water azeotropes. In order to model the composition trajectories, a rigorous nonequilibrium (NEQ) stage model is developed. The NEQ model incorporates the Maxwell–Stefan diffusion equations to describe the intraphase transfers in the vapor and liquid phases. The only adjustable parameter in the NEQ model is the size of the vapor bubbles on trays. A choice of a bubble diameter of 4mm in the developed NEQ model gave the best agreement with the experimental results for all of the 38 experimental runs. The Murphree efficiencies of the constituents in the ternary mixture were found to be significantly different from one another for all the runs. In order to ascertain the influence of unequal component efficiencies on the column composition trajectories, the experimental results were also simulated with an equilibrium (EQ) stage model assuming a uniform, constant efficiency for all components on all the trays. The value of this constant efficiency for any experimental run was obtained by averaging the individual component efficiencies for all the three components on all the trays, calculated by the rigorous NEQ model. The predictions of the EQ model leads to significantly worse predictions of the column composition trajectories for each of the runs, when compared to the NEQ model. It is found that the column composition trajectories are significantly altered due to differences in the component efficiencies. From a design view point, it is shown that for the water–ethanol–tert-butanol system, the attainment of a desired ethanol purity in the top product may require significantly larger number of stages than that anticipated by the EQ model incorporating constant component efficiencies.

 

Hydrodesulphurization of gasoils: Advantages of counter- current gas-liquid contacting

 J.A. Ojeda, J. Ramirez and R. Krishna

Hydrodesulphurization (HDS) of gasoils is conventionally carried out in the petroleum industry in co-current trickle bed reactors.  The important disadvantage of co-current operation is that the build-up of H2S along the reactor height is detrimental to the desulphurisation reaction; this is because of inhibition effects.  In this paper we examine the benefits of carrying out the HDS reaction in a counter-current mode. We carried out simulations of the co- and counter-current configurations using an equilibrium stage model and taking dibenzothiophene (DBT) as a model sulphur compound. Our simulations show that counter-current operation can significantly reduce the requirements in the total amount of catalyst when ultra low levels of S are demanded in the product steam. For the same amount of catalyst, the conversion of DBT is significantly higher.

 

IN-SITU STRIPPING OF H2S IN GASOIL HYDRODESULPHURIZATION: Reactor Design Considerations

 J. A. OJEDA NAVA and R. KRISHNA

In order to meet future diesel specifications the sulphur content of diesel would need to be reduced to below 50 ppm. This requirement would require improved reactor configurations. In this study we examine the benefits of counter-current contacting of gas oil with H2, over conventional co-current contacting in a trickle bed hydrodesulphurization (HDS) reactor. In counter-current contacting, we achieve in-situ stripping of H2S from the liquid phase; this is beneficial to the HDS kinetics. A comparison simulation study shows that counter-current contacting would require about 20% lower catalyst load than co-current contacting. However, counter-current contacting of gas and liquid phases in conventionally used HDS catalysts, of 1.5mm sizes, is not possible due to floooding limitations. The catalysts need to be housed in special wire gauze envelopes as in the catalytic bales or KATAPAK-S configurations. A preliminary hardware design of a counter-current HDS reactor using catalytic bales was carried out in order to determine the technical feasibility. Using a realistic sulphur containing feedstock, the target of 50 ppm S content of desulphurized oil could be met in a reactor of reasonable dimensions. The study also underlines the need for accurate modelling of thermal effects during desulphurization. Our study also shows that interphase mass transfer is unlikely to be a limiting factor and there is a need to develop improved reactor configurations allowing for increased catalyst loading, at the expense of gas–liquid interfacial area.

 

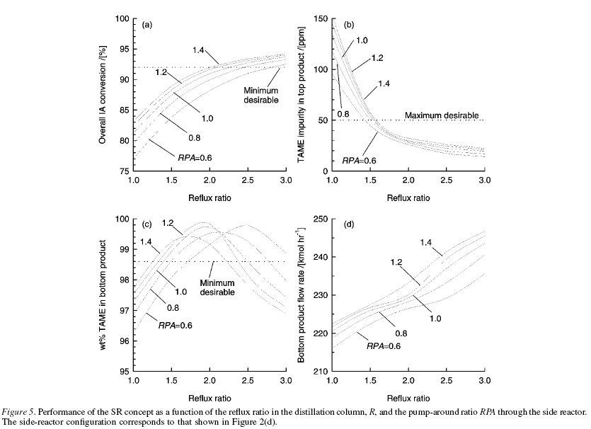
COMBINING DISTILLATION AND HETEROGENEOUS CATALYTIC REACTORS

J. A. OJEDA NAVA, R. BAUR and R. KRISHNA

The hardware design of reactive distillation (RD) columns pose severe challenges with respect to the choice and design of the hardware; the requirements of reaction (i.e. high liquid or catalyst holdup) are not in consonance with the requirement of separation (high interfacial area). In this paper we examine an alternative to the RD concept, namely a distillation column networked with a single side (external) reactor, which we call the SR concept. For the case study of tertiary-amyl ether (TAME) production by reaction of isoamylene (IA) with methanol, we show that employing the SR concept it is possible to meet the design targets of IA conversion, TAME purity in bottom product and TAME impurity in top product using just one side reactor. From detailed hardware designs, we see that the RD column is significantly taller than the distillation column in the SR configuration; this is due to the placement of the catalyst load within the RD column. We conclude that the SR concept will be competitive with the RD column configuration provided the IA conversion targets are not too stringent.